智能电瓶充电器的设计 摘要:电瓶充电器一般采用了进口电源模块,是目前最新颖的高频电子电路智能型自动充电器。损耗低、功效高。充电器还具有防反接功能,若不连接或极性反接则无电压输出,只有正确连接才能正常工作,还具有过压、过流、过热等保护。
关键词:电瓶充电器、电源模块、高频电子电路、防反接功能、正确连接
1 引言
随着越来越多的手持式电器的出现,对高性能、小尺寸、重量轻的电池充电器的需求也越来越大。电池技术的持续进步也要求更复杂的充电算法以实现快速、安全的充电。因此需要对充电过程进行更精确的监控,以缩短充电时间、达到最大的电池容量,并防止电池损坏。
发展中的民用电动交通产品,是未来蓄电池的最大市场。该市场能否获得快速平稳的发展,关键取决于电动交通产品的运行成本。其中围绕着蓄电池的几项技术指标,如蓄电池的单位储能指标,循环使用寿命,放电后的充电是否安全、方便,环境温度变化的适应能力等,又是影响运行成本的核心。以上任一个技术指标的突破,都将会使蓄电池在电动交通产品上的应用,向前迈出坚实的一步。现代通讯设备、便携式电子产品、笔记本电脑、电动汽车、小卫星等普遍使用蓄电池作为电源,应用非常广泛。然而大多数设备中的蓄电池,只能使用专用的充电器,而且普通的充电器大多充电时间长,无法判断其充电参数和剩余的充电时间。 由于铅酸蓄电池在使用过程中,只是不断将化学能转换成电能,又将电能转换成化学能,反复循环,对外部环境是“零排放”, 不会对环境造成污染.
铅酸蓄电池的制造成本低、容量大、价格低廉,使用十分广泛。由于其固有的特性,若使用不当,寿命将大大缩短。影响铅酸蓄电池寿命的因素很多,采用正确的充电方式,能有效延长蓄电池的使用寿命。因此,设计一种全新的智能型铅酸蓄电池充电器是十分必要的。 iàZ Áï
ûwww.osteoform.bysj1.com.cnÜZÄ£BígæðiàZ Áï
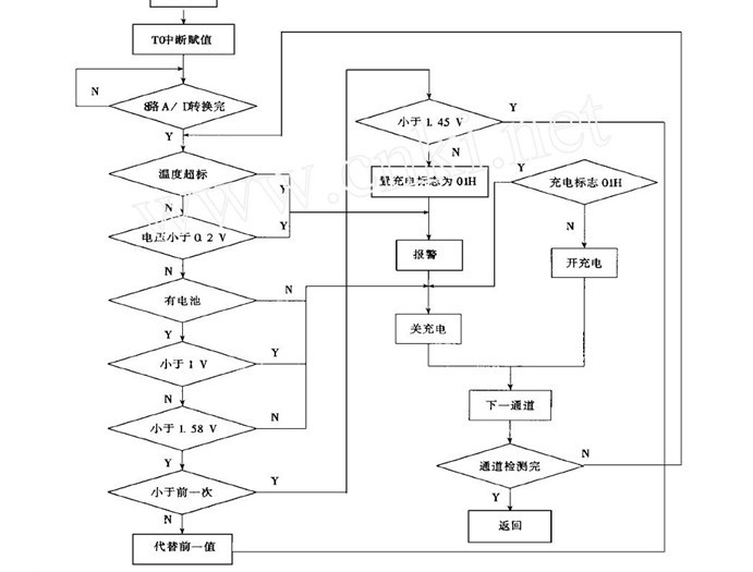
ûwww.osteoform.bysj1.com.cnÜZÄ£Bígæð 本次所需完成的任务要求是:首先对被电电瓶进行电压检测,当单组电压高于10.5V时,先实施放电,放电电能储入储能器件中,当电瓶电压到达10.5V时开始充电;当单组电瓶电压达13.5V时,充电停止;要求有电源正常提示、放电提示、充电提示、充电已满提示;电路采用模块结构,A/D采用开关电源,加强现有产品易损单元的原理性设计,合理选择参数,做到理论设计零故障;增加各种保护功能,尽可能提高充电器的性价比;单片机具有各种检测、控制功能,对电瓶充放电数据统计以判断电瓶质量及使用寿命;合理选择储能元件,节能降耗。
2 方案论证
目前几种充电方式 铅酸蓄电池的允电方法目前主要有恒流、恒压、恒压限流、脉冲充电、Retlex充电法。(1)恒流充电 恒流充电方式是一种简单的充电方法。但是,恒流充电有其局限性:对电池过充电就会造成电池寿命的缩短,而过小电流又会延长充电时间。(2)恒压充电 恒压充电用简单的控制方法很容易就能实现。在充电的初始阶段,由于电池的电压很低而造成充电电流很大,这对电池会造成损害。当电池电压达到一定值之后,电流就会随之减小。因此在充电时要严格掌握充电电压,如额定电压为12V的蓄电池,其充电电压应在13.5~13.8V之间。浮充电压过低,蓄电池会充不满,过高则会造成过量充电。电压的调定,应以初期充电电流不超过0.3C(C为蓄电池的额定容量)为原则。这种充电方法的缺点就是会造成温度上升和电池的寿命减少,并且在开始时电流很大。而后来快充满时电流又很小, 毕业设计说明书目录
引言………………………………………………………………………… 16
方案论证…………………………………………………………………… 16
目前的几种充电方式 ………………………………………………… 16
方法一 ………………………………………………………………… 16
方法二 ………………………………………………………………… 16
方法三 ………………………………………………………………… 17
方法四 ………………………………………………………………… 17
方法五 ………………………………………………………………… 17
各电路设计和论证………………………………………………………… 17
3.1 充电过程分析………………………………………………………… 17
3.2 镍镉和镍氢电池充电器原理………………………………………… 18
3.3 锂离子电池充电器原理……………………………………………… 19
3.4 铅蓄电池充电原理…………………………………………………… 21
3.5 智能型充电器的工作原理…………………………………………… 23
3.5.1 开关稳压电源……………………………………………………… 24
3.5.2 波开关……………………………………………………………… 25
3.5.3 控制器……………………………………………………………… 25
3.5.4 辅助电源…………………………………………………………… 26
4.硬件程序设计……………………………………………………………… 26
5. 软件程序设计……………………………………………………………… 28
程序………………………………………………………………………… 32
6.1 温度检测中断程序…………………………………………………… 32
6.2 电压检测子程序……………………………………………………… 32
6.3 充电脉冲控制子程序………………………………………………… 33
6.4 单片机主程序………………………………………………………… 34
7. 主要技术指标……………………………………………………………… 34
7.1规格型号与外形尺寸………………………………………………… 35
7.2各项性能参数………………………………………………………… 35
7.3充电模式……………………………………………………………… 35
7.4放电曲线……………………………………………………………… 35
7.5充电曲线……………………………………………………………… 36
7.6放电深度与循环寿命的关系………………………………………… 36
7.7有效容量与温度的关系……………………………………………… 36
7.8 40℃环境下,20%放电深度循环能力……………………………… 37
8. 参考文献…………………………………………………………………… 37
参考文献
1. 何立明.单片机应用系统设计-系统配置与接口技术.北京航空航天大学出版社,1993
2.王有春主编. 电子报(和订本).成都:电子科技大学出版社,1997
3.李震,洪添胜,基于AVR单片机和PID算法的水温控制器,国内电子测量技术,2006
4.王乾发,齐宇岚,于浩,基于AVR单片机的液晶显示系统的设计。长春工业大学学报,2008
5.王有春主编. 电子报(和订本).成都科技大学出版社,1991
6.李震,洪添胜,基于AVR单片机和PID算法的水温控制器,国内电子测量技术,2006
7.《模拟电子技术基础》,沈任元,吴勇机械工业出版社。
8.《数字电子技术基础》,沈任元,吴勇机械工业出版社。
9.《单片机原理及应用》,周志德。高等教育出版社。
10.王有春主编. 电子报(合订本) . 成都:成都科技大学出版社,1991。




















