基于PLC的大米存储系统设计
摘要
随着现代社会的快速发展及科学技术的提升,PLC技术被广泛应用于各大领域。PLC全称为可编程逻辑控制器。其操作比较简单、功能较多且具有良好的稳定性。也正因为如此,PLC常常被应用于工作量较大、较高的工程作业中。学习,掌握和应用PLC技术对提高我国工业自动化水平和生产效率具有十分重要的意义。本文将结合PLC技术的特点,讲述PLC在大米存储控制中的应用。
目前,我国是世界上最大的大米生产、储藏及消费大国,大米储藏是国家为防备战争、灾荒及其他突发性事件而采取的有效措施,因此大米的安全储藏是关系到国计民生的战略大事。大米在贮藏过程中,会因为受温度、湿度、氧气、微生物及昆虫等因素的影响,从而造成其质量的不良改变。运用PLC控制技术对大米贮藏过程中的影响参数进行实时监测、分析,是保障大米储存品质的有效手段。在此,通过采用对影响大米贮藏过程中的参数进行实时采集、分析,当发现不良变化时,能够及时发出预警信息,保证大米储存的安全。
关键词:PLC;大米存储;粮情监测
绪论
1.1 PLC控制系统的发展现状
目前对PLC控制系统的定义有着不同的解释。其中最为广泛的一种是PLC控制系统作为一种数字运作的电子系统,可以说是专门应用在微工业环境中的控制电子系统设计。该系统采用能够编制程序的存储器,结合逻辑运算和顺序控制的方法,运用定时技术和算数运算指令,通过输入输出的模拟数字来控制不同的机械和生产过程。可以说PLC控制系统在工业方面的应用很广泛,是工业控制中最为常见的控制器,具有通用性强、方便性好、适应性广、可靠性高及较强的抗干扰性能等优点。
通常从结构上将PLC控制系统分为固定式和组合式两种。固定式PLC控制系统主要包括CPU板、显示面板、内存块和电源等,这些不同的元素构成了PLC的整体部分;组合式PLC控制系统主要包括CPU模块、内存、电源模块、底板等,这些组合配置可以按照一定的规则组合起来。
PLC控制系统是现代化企业迈向成功必不可少的要素,是微电子行业依循的重要控制系统。通过该系统能够有效地进行系统控制,实现对生产经营各个部门的协调、指导,是实现设计目标、产品增值的重要技术保证。对PLC控制系统的分析研究有助于提高企业产品优势,促进企业技术成果转化,加强企业之间在不同领域的交流,为企业营造良好的工作氛围和企业文化,使企业在经营过程中不断突破自我,在竞争中处于有利地位。另外,PLC控制系统的应用能使整个系统更加合理和高效,在很大程度上缩短产品的生产和运行周期,助推电子行业的跨越发展。
目前虽然国内相关的一些公司及研究机构在PLC控制系统方面开展了部分基础技术研究工作,但还没有一家公司或机构可以推出比较完整的产品。我国数控方面的专家一直以来也没有停止过对PLC控制系统的研究,越来越完善的产品逐渐呈现出来,但总体来说,我国PLC控制系统方面的产品起步较晚,与国外相比,发展比较迟缓。
目录
第一章 绪论
1.1 PLC控制系统的发展现状
1.2 PLC控制系统的优势
1.3 PLC大米存储控制系统的意义
第二章 PLC控制的大米存储系统设计简介
2.1基本结构
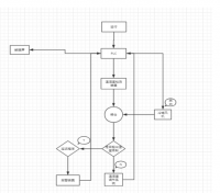
2.2 系统运行流程图
第三章 系统的组成
3.1控制部分
3.1.1 PLC控制器的简介
3.1.2 PLC控制器的选型
3.1.3触摸屏的简介与选型
3.2温度检测部分
3.2.1 温度传感器的类型和作用
3.2.2 温度传感器的选择
3.3监控部分
3.3.1 报警功能设计
第四章 控制程序的设计
4.1 I/O分配表
4.2 PLC主程序
4.3 温度传感器子程序
4.4 报警功能程序设计
4.5 PLC控制接线图
4.6 程序的仿真与调试
总结
参考文献




















