支座塑料模设计(专业定做模具专业毕业设计)
摘要
本次毕业设计选择支座注塑模,支座具有结构简单、重
量轻、耐腐蚀老化、强度高、制作方便、价格低廉等特点。
设计过程中依据产品的数量和塑料的工艺性能确定塑件采
用注射成形法生产。该产品设计为大批量生产,故设计的模
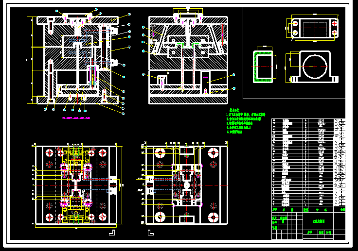
具要有较高的注塑效率,浇注系统要能够自动脱模,模具的
型腔采用一模二腔布置,推出形式为两推杆推出机构完成塑
件的推出。由于塑件的工艺性能要求注塑模中有冷却系统,
因此在模具设计中也进行了设计,这样可以使塑件的性能得
到很好的提高,也能在很大的程度上避免塑件成型缺陷,从
而保证本次设计的要求。本次的设计中不仅参考了大量纸质
文献,而且在互联网上查阅资料,设计过程比较完整。
关键词:注射成型 模具设计支座 PE
(1)产品名称:支座
外形尺寸与精度等级支座整体尺寸40mm×16mmx25mm,
支座属于外部配件,表面精度要求较高,尺寸精度要求不高。
(2)产品材料:聚乙烯(PE)
塑件材料特性:聚乙烯塑料是塑料工业中产量最大品
种。按聚合时采用的压力不同可分高压、中压和低压三种。
低压聚乙烯的分子链上支链较少,相对分子质量、结晶度和
密度较高,所以低压聚乙烯比较硬,耐磨、耐蚀、耐热及绝
缘性较好。高压聚乙烯分子带有许多支链,因而相对分子质
量较低,且具有较好的有软性、耐冲击性及透明性
(3)塑件材料成形性能:
聚乙烯成型时,在流动方向与垂直方向的收缩差异较
大。注射方向的收缩大于垂直方向的收缩率,易产生变形,
聚乙烯收缩率的绝对值较大成型收缩率也较大,易产生缩
孔,冷却速度慢,必须充分冷却,且冷却速度要均匀;质软易
脱模,塑件有浅的侧凹时可强行脱模。
(4)产品数量:大批量生产
(5)塑件尺寸:如图 1.1所示
(6)塑件颜色:土黄、米白、乳白等各种颜色,可根据需
要任意选择
(7)塑件材料物理性能(查文献[1]可得)
塑料模具
设计手册
组编写组
编.塑料模
具设计手
册.模具手
册之二第
二版,北
京:机械工
业出版社,
①密度: 0.91~0.96g/cm
②收缩率:1.0%~3.0%
3
③热变形温度:83℃~103℃
④屈服强度:37MPa
⑤抗弯强度:67MPa
⑥弯曲弹性模量:1.45MPa
⑦抗压强度:56 MPa
⑧缺口冲击强度:3.4~4.8KJ/m
3
(8)塑件质量:该产品材料为 PE,由上得知其密度为
0.91~0.96g/cm;收缩率为 1.0%~3.0%;密度为 0.96g/cm;
3
3
平均收缩率为2.0%。可根据塑件形状进行 UG造型几何计算
得到盒盖的体积。
体积: V盒=5.81cm3
1994.66-82
质量: m=ρV≈5.81cm3×0.96g/cm3≈5.58g.
(9)塑件要求:塑件内侧表面光滑,有一定的强度,能达
到所需的要求。
1.2塑件成形工艺参数确定
1.2.1PE成形的工艺参数
查文献[7]表 3.1得:
(1)塑化形式:螺杆式
(2)螺杆转数/(r/min):20~40
(3)喷嘴形式:直通式
查询《塑
料成型工
艺与模具
设计》第
二版屈华
昌主编
P49表 3.1
(4)喷嘴温度/℃:220~230
(5)料筒温度/℃:①前段:230~250②中段:240~260
③后端:220~240
(6)模具温度/℃:80~100
(7)注射压力/MPa:80~120
(8)保压力/MPa:40~50
(9)注射时间/s:0~5
(10)保压时间/s:20~80
(11)冷却时间/s:20~50
(12)成型周期/s:50~140
1.2.2关于PE设计时应考虑的问题
(1)结晶性料,吸湿性小,可能发生熔体破裂,长期与
热金属接触易发生分解。
(2)成型收缩范围大,收缩率大,易发生缩孔、凹痕、
变形、取向性强。
(3)塑件壁厚均匀,避免缺口、尖角,以防止应力集中。
(4)注意控制成型温度,料温低取向性明显,尤其低温
高压时更明显,模具温度低于 50°C以下塑件无光泽,易产
生熔接痕,流痕;90°C以上时医发生翘曲、变形。
参考文献
1.塑料模具设计手册组编写组编.塑料模具设计手册.模具
手册之二第二版,北京:机械工业出版社,1994.66-82
2.史铁梁.模具设计指导.北京:机械工业出版社,2003.43
-68
3.李学峰.塑料模具设计与制造 ,北京:机械工业出版社,
2010.103-183
4.李秦蕊.塑料模具设计.第二版.西安:西安工业大学出版
社,1985.25-28
5.杨占尧.塑料模具课程设计.北京:化学工业出版社,
2010.24-85
6.梅伶.模具课程设计指导.北京: 机械工业出版社,
2006.49-54
7.屈华昌.塑料成型工艺与模具设计.北京:机械工业出
版社,2001.45-198
8.肖祥芷.王孝培.中国模具设计大典.南昌:江西科学工
业出版社,2003.456-486
http://www.bysj1.com/html/4805.html http://www.bysj1.com/html/5138.html





















